Tentukan nilai dari. Di sini kamu akan belajar tentang limit pemfaktoran melalui video yang dibawakan oleh bapak anton wardaya.
Soal Limit Aljabar Yang Diselesaikan Dengan Pemfaktoran
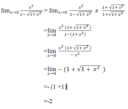
Selanjutnya gunakan metode pemfaktoran.
Contoh soal limit fungsi pemfaktoran. Soal yang diberikan pada soal dikerjakan dengan kombinasi pemfaktoran dan memanipulasi dengan identitas trigonometri. Secara umum didefinisikan sebagai berikut. Limit tersebut dapat ditentukan dengan menggunakan metode pemfaktoran sebagai berikut.
Limit fungsi aljabar setrelah sebelumnya contohsoalcoid membahas materi tentang contoh soal limit. Contoh soal limit materi makalah pembahasan kali ini mengenai contoh soal limit beserta pengertian sifat sifat limit teorima limi dan contoh soalnya. Dengan mengalikan limit fungsi tersebut dengan bentuk sekawan penyebutnya diperoleh.
Kamu akan diajak untuk memahami materi hingga metode menyelesaikan soal. Berikut ini adalah contoh soal dan pembahasan mengenai limit fungsi aljabar dan trigonometri. Limit fungsi aljabar limit fungsi aljabar matematika sma smk limit fungsi aljabar limit fungsi adalah suatu nilai pendekatan disekitar titik tertentu baik pendekatan dari kiri suatu titik maupun pendekatan dari kanan titik tersebut dedi heryadi 2007.
Contoh soal dan jawaban limit metode pemfaktoran posted by edutafsi on 17 april 2015 833 am adakalanya nilai limit suatu fungsi tidak dapat ditentukan hanya dengan metode substitusi karena dihasilkan bilangan yang tak tentu. Maka dipertemuan kali ini contohsoalcoid akan menerangkan secara lengkap materi tentang limit fungsi aljabar beserta penegrtian materi metode rumus dan contoh soalnyauntuk lebih jelasnya sobat bisa simak ulasan yang sudah contosoalcoid rangkum dibawah ini. Kumpulan soal mudah sedang sukar.
Limit fungsi aljabar limit bisa diartikan sebagai menuju batas sesuatu yang dekat namun tidak bisa dicapai. Berikut akan kami jelaska tentang pengertian beserta rumus metode sifat teorema dan contoh soalnya untuk lebih jelasnya sima pembahasan dibawah ini. Dalam bahasa matematika keadaan ini adalah umum disebut limit.
Lim x termasuk juga limit x 0 mulai dari yang mudah dulu tipe soal soal limit yang bisa diselesaikan dengan substitusi langsung seperti contoh berikut. Identitas trigonometri yang digunakan adalah cosinus sudut rangkap seperti terlihat pada persamaan. Lim x mendekati n fx a jika dan hanya jika x mendekati n.
1 tentukan hasil dari. Limit x a. Namun dipertemuan sebelumnya kami telah membahas mengenai contoh soal fungsimari kita pelajari dengan seksama penjelasan lengkapnya berikut ini.
Soal soalnya dikumpulkan penulis dari berbagai sumber. Contoh soal 3 limit fungsi trigonometri. Pembahasan limit bentuk.
Hendra Susanto Soal Dan Pembahasan Limit Fungsi Cara
Soal Limit Aljabar Yang Diselesaikan Dengan Pemfaktoran
Soal Limit Aljabar Yang Diselesaikan Dengan Pemfaktoran
Soal Limit Aljabar Yang Diselesaikan Dengan Pemfaktoran
Limit Fungsi Aljabar Materi Rumus Metode Contoh Soal
Soal Limit Aljabar Yang Diselesaikan Dengan Pemfaktoran
Limit Dengan Pemfaktoran Dan Perkalian Sekawan
Limit Fungsi Aljabar Materi Rumus Metode Contoh Soal
Belajar Limit Fungsi Aljabar Ikbalmatematika23
Belajar Limit Fungsi Aljabar Ikbalmatematika23
Limit Dengan Pemfaktoran Dan Perkalian Sekawan
Belajar Limit Fungsi Aljabar Ikbalmatematika23
Hendra Susanto Soal Dan Pembahasan Limit Fungsi Perkalian
Kumpulan Soal Limit Fungsi Trigonometri
Belajar Limit Fungsi Aljabar Ikbalmatematika23
Limit Dengan Pemfaktoran Dan Perkalian Sekawan
Contoh Soal Limit Kumpulan Soal Pelajaran 5
Belajar Limit Fungsi Aljabar Ikbalmatematika23
Pelajaran Soal Rumus Limit Pemfaktoran Wardaya College
Kumpulan Soal Limit Fungsi Trigonometri
Contoh Soal Limit Kumpulan Soal Pelajaran 3
Belajar Limit Fungsi Aljabar Ikbalmatematika23
Contoh Soal Limit Fungsi Pemfaktoran Archives Dosen Mipa
Limit Fungsi Aljabar Nol Per Nol
Limit Fungsi Aljabar Hotma Purba Sman 3 Bungo
Pelajaran Soal Rumus Limit Pemfaktoran Wardaya College
Limit Fungsi Aljabar Materi Rumus Metode Contoh Soal
Kumpulan Soal Limit Fungsi Trigonometri
Limit Fungsi Aljabar Nol Per Nol
Contoh Soal Limit Fungsi Pemfaktoran Akar Archives Dosen Mipa
Rumus Limit Matematika Fungsi Tak Hingga Contoh Soal
Tolong Di Bantu Ya Ini Soal Tentang Limit Fungsi Brainly Co Id
Contoh Soal Limit Trigonometri Terbaru Kelas 11 12
Limit Dengan Pemfaktoran Dan Perkalian Sekawan
Kumpulan Soal Limit Fungsi Trigonometri
Limit Fungsi Pengertian Rumus Dan Contoh Soalnya Lengkap
Limit Fungsi Aljabar Definisi Sifat Metode
Limit Trigonometri Rumushitung Com
Limit Dengan Pemfaktoran Dan Perkalian Sekawan
Belajar Limit Fungsi Aljabar Ikbalmatematika23
Kumpulan Soal Limit Fungsi Trigonometri
Limit Fungsi Aljabar Definisi Sifat Metode
Limit Fungsi Aljabar Pengertian Materi Metode Rumus Dan
Tips Dan Trik Mengerjakan Soal Limit Trigonometri
Kumpulan Soal Limit Fungsi Trigonometri
Limit Fungsi Aljabar Materi Rumus Metode Contoh Soal
Limit Dengan Pemfaktoran Dan Perkalian Sekawan
Limit Fungsi Aljabar Materi Rumus Metode Contoh Soal
Rumus Abc Matematika Pembuktian Pengertian Penggunaan
Limit Fungsi Aljabar Definisi Sifat Metode
Soal Dan Pembahasan Limit Fungsi Aljabar Dan Trigonometri
Nilai Dari Limit Fungsi Aljabar Metode Pemfaktoran
Limit Fungsi Aljabar Materi Rumus Metode Contoh Soal
Kumpulan Soal Limit Fungsi Trigonometri
Limit Fungsi Aljabar Pintar Dengan Matematika
Limit Fungsi Pengertian Rumus Dan Contoh Soalnya Lengkap
Limit Trigonometri Pengertian Rumus Identitas Fungsi
Limit Fungsi Aljabar Matematika Kelas 11 Quipper Blog
Belajar Matematika Materi Limit
Kumpulan Soal Limit Fungsi Trigonometri
Sifat Limit Fungsi Dan Cara Penyelesaiannya Lavoni Dela
Limit Fungsi Aljabar Definisi Sifat Metode
Cinthia Intan Limit Fungsi Trigonometri
Limit Fungsi Aljabar Pengertian Materi Metode Rumus Dan
Aljabar Suku 3 Pemfaktoran Bentuk Ax Bx C A 1
Limit Fungsi Aljabar Matematika Kelas 11 Quipper Blog
Belajar Limit Fungsi Aljabar Ikbalmatematika23
Limit Trigonometri Rumushitung Com
Pemfaktoran Bentuk Aljabar Lengkap Dengan Contoh Soalnya
Limit Fungsi Aljabar Trigonometri Pengertian Rumus
Limit Fungsi Aljabar Rumus Metode Sifat Teorema Dan
Limit Fungsi Pengertian Rumus Dan Contoh Soalnya Lengkap
Penyelesaian Limit Fungsi Aljabar Konsep Matematika Koma
Limit Fungsi Aljabar Definisi Sifat Metode
Tips Mengerjakan Soal Limit Fungsi Aljabar Bentuk Tak Tentu
Penjumlahan Dan Pengurangan Pecahan Aljabar
Limit Fungsi Aljabar Matematika Kelas 11 Quipper Blog
Materi Limit Fungsi Aljabar Rumushitung Com
Pelajaran Soal Rumus Limit Mengalikan Sekawan Wardaya












