Sekian kumpulan soal limit fungsi trigonometri disertai dengan pembahasannya. Download rangkuman contoh soal limit dalam bentuk pdf klik disini.
Teknik yang digunakan untuk mendapatkan nilai limit pada soal adalah mengalikan dengan akar sekawannya.
Contoh soal limit fungsi aljabar kelas 12. 1 tentukan hasil dari. Soal no1 un 2010. Cara hitung limit fungsi trigonometri bisa langsung disubtitusikan seperti limit fungsi aljabar tetapi ada fungsi trigonometri yang diubah dahulu ke identitas trigonometri untuk limit tak tentu yaitu limit yang apabila langsung.
Home contoh soal dan pembahasan tentang limit contoh soal dan pembahasan tentang limit widi sunday. Penjelasan lengkap tentang contoh soal limit trigonometri sbmptn kelas 11 12 dan pembahasannya lengkap. Pada kesempatan ini m4th lab akan membahas materi limit fungsi trigonometri meliputi konsep contoh soal dan pembahasan.
Sunday 12 february 2017. Pada kurikulum 2013 revisi 2016 materi ini dipelajari di kelas xii matematika peminatan semester ganjil. Pada kesempatan ini soal terbaru akan membahas materi limit fungsi trigonometri mencakup konsep rujukan soal dan pembahasan.
Soal limit aljabar dengan bentuk selisih akar gunakan ketentuan berikut. Contoh soal dan pembahasan tentang limit trigonometri. Soal dan pembahasan limit fungsi aljabar dan trigonometri berikut ini adalah contoh soal dan pembahasan mengenai limit fungsi aljabar dan trigonometri.
Tentukan nilai limit berikut. Ulangan umum matematika kelas x semester ganjil ta 20172018 smkn 3 pontianak. Limit fungsi aljabar menghitung limit fungsi trigonometri.
Contoh soal pembahasan. Pada kurikulum 2013 revisi 2016 materi ini dipelajari di kelas xii matematika peminatan semester ganjil. Contoh soal dan pembahasan tentang limit.
Limit x a. Tags contoh soal matematika limit matematika kelas xi pembahasan soal matematika rangkuman materi matematika. Contoh soal 12 limit fungs trigonometri.
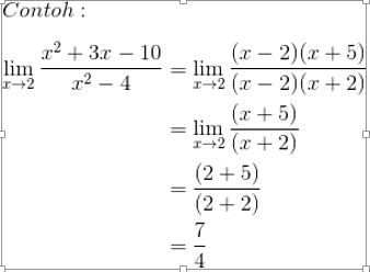
Perhatikan proses pengerjaan di bawah. Jika hasil substitusi adalah 00 bentuk tak tentu maka tidak dapat dilakukan dengan cara memasukkan nilai langsung melainkan harus difaktorkan terlebih dahulu. 2 12 6 2 soal no2 hitunglah nilai limit fungsi aljabar berikut ini.
Contoh soal dan pembahasan tentang fungsi. Pembahasan limit bentuk. Contoh soal limit fungsi aljabar dan pembahasannya.
Lim x termasuk juga limit x 0 mulai dari yang mudah dulu tipe soal soal limit yang bisa diselesaikan dengan substitusi langsung seperti contoh berikut. Limit selisih akar dengan a c sehingga hasilnya 0 soal no. Soal soalnya dikumpulkan penulis dari berbagai sumber.
X 2 4 x 2.
Contoh Soal Limit Belajar Sastra Dan Seni
Limit Fungsi Aljabar Belajar Matematika Online
Soal Dan Pembahasan Limit Fungsi Aljabar Dan Trigonometri 1
Limit Fungsi Aljabar Materi Rumus Metode Contoh Soal
Soal Dan Pembahasan Limit Fungsi Aljabar Dan Trigonometri 1
Contoh Soal Limit Fungsi Contoh Soal Dan Contoh Pidato Lengkap
Hendra Susanto Soal Dan Pembahasan Limit Fungsi Cara
Contoh Soal Limit Trigonometri Terbaru Kelas 11 12
Turunan Fungsi Aljabar Turunan Dasar Rumus Soal
Kumpulan Soal Limit Fungsi Trigonometri
Rangkuman Contoh Soal Pembahasan Limit
Limit Fungsi Aljabar Materi Rumus Metode Contoh Soal
Soal Limit Aljabar Yang Diselesaikan Dengan Pemfaktoran
Limit Fungsi Aljabar Pintar Dengan Matematika
Contoh Soal Dan Pembahasan Tentang Limit Ajar Hitung
Soal Limit Fungsi Trigonometri
Cara Mudah Mengerjakan Soal Limit Fungsi Aljabar Bentuk Tak
Limit Tak Hingga Fungsi Aljabar Materi Lengkap Matematika
Rumus Limit Matematika Fungsi Tak Hingga Contoh Soal
Cara Menyelesaikan Soal Limit Fungsi Aljabar Lengkap Dengan
Limit Fungsi Aljabar Materi Rumus Metode Contoh Soal
Soal Dan Pembahasan Limit Fungsi Aljabar Dan Trigonometri 1
Hendra Susanto Soal Dan Pembahasan Limit Fungsi Perkalian
Limit Fungsi Aljabar Matematika Kelas 11 Quipper Blog
Limit Fungsi Aljabar Nol Per Nol
Kumpulan Soal Limit Fungsi Trigonometri
Soal Dan Pembahasan Limit Fungsi Aljabar Dan Trigonometri 1
Kumpulan Soal Limit Fungsi Trigonometri
Kumpulan Soal Tentang Limit Fungsi Aljabar Beserta
Soal Limit Aljabar Yang Diselesaikan Dengan Pemfaktoran
Limit Fungsi Trigonometri Makalah Rumus Teorema Contoh Soal
Bank Soal Dan Pembahasan Matematika Dasar Limit Fungsi
Rumus Limit Matematika Fungsi Tak Hingga Contoh Soal
Limit Fungsi Aljabar Pintar Dengan Matematika
Kumpulan Soal Limit Fungsi Trigonometri
Bank Soal Dan Pembahasan Matematika Dasar Limit Fungsi
Limit Fungsi Aljabar Tak Terhingga
Limit Matematika Dan Contoh Soal
Soal Dan Pembahasan Limit Fungsi
Limit Fungsi Aljabar Matematika Kelas 11 Quipper Blog
Soal Limit Fungsi Trigonometri
Limit Fungsi Trigonometri Belajar Matematika Online
Limit Fungsi Trigonometri Matematika Peminatan Kelas Xii
Limit Trigonometri Pengertian Rumus Identitas Fungsi
Limit Fungsi Aljabar Materi Rumus Metode Contoh Soal
Kumpulan Soal Limit Fungsi Trigonometri
Pengertian Tentang Limit Trigonometri Lengkap Tips Tricknya
Limit Fungsi Aljabar Matematika Kelas 11 Quipper Blog
Pelajaran Soal Rumus Limit Mengalikan Sekawan Wardaya
Kumpulan Soal Limit Fungsi Trigonometri
Rangkuman Contoh Soal Pembahasan Limit
Contoh Soal Limit Trigonometri Terbaru Kelas 11 12
Limit Fungsi Aljabar Matematika Kelas 11 Quipper Blog
10 Soal Dan Pembahasan Limit Fungsi Trigonometri
Contoh Soal Limit Fungsi Trigonometri Aljabar Pembahasan
Soal Limit Aljabar Yang Diselesaikan Dengan Pemfaktoran
Soal Limit Fungsi Aljabar Pecahan Bentuk Akar Kelas X
Tips Dan Trik Mengerjakan Soal Limit Trigonometri
Rangkuman Contoh Soal Pembahasan Limit
Contoh Soal Contoh Ke 1 Limit Fungsi Trigonometri Icpns
Soal Dan Pembahasan Limit Fungsi Aljabar Dan Trigonometri
Limit Fungsi Aljabar Belajar Matematika Online
10 Soal Dan Pembahasan Limit Fungsi Trigonometri
Soal Limit Aljabar Yang Diselesaikan Dengan Pemfaktoran
Limit Fungsi Aljabar Tak Terhingga
Limit Fungsi Aljabar Trigonometri Pengertian Rumus
Contoh Soal Cerita Trigonometri Kelas Xizip Dari Suatu
Limit Fungsi Aljabar Matematika Kelas 11 Quipper Blog
Rangkuman Contoh Soal Pembahasan Limit
Asimtot Tegak Dan Mendatar Fungsi Aljabar Konsep
Limit Fungsi Aljabar Belajar Matematika Online
Kumpulan Soal Limit Fungsi Trigonometri
Trik Mengerjakan Soal Limit Fungsi Aljabar Bentuk Tak Tentu
Limit Fungsi Trigonometri Kelas Xii Mipa Please Bantu
Bank Soal Dan Pembahasan Matematika Dasar Limit Tak Hingga
Limit Tak Hingga Fungsi Aljabar Materi Lengkap Matematika
Limit Fungsi Aljabar Matematika Kelas 11 Quipper Blog
Limit Trigonometri Pengertian Rumus Identitas Fungsi
Turunan Fungsi Aljabar Turunan Dasar Rumus Soal
Limit Fungsi Aljabar Mendekati Tak Berhingga
Soal Cerita Fungsi Komposisi Request
Limit Fungsi Trigonometri Ppt Download
Tips Dan Trik Mengerjakan Soal Limit Fungsi Trigonometri
18 Modul Limit Fungsi Pak Sukani
Limit Fungsi Trigonometri Materi Lengkap Matematika Sma Smk Ma








