Lim x termasuk juga limit x 0 mulai dari yang mudah dulu tipe soal soal limit yang bisa diselesaikan dengan substitusi langsung seperti contoh berikut. Antara mendekati nol dan tak hingga limit akar limit aljabar limit bilangan natural limit dengan subtitusi limit memakai eksponen limit mendekati tak hingga limit sin xx dengan x.
Limit Fungsi Aljabar Materi Rumus Metode Contoh Soal
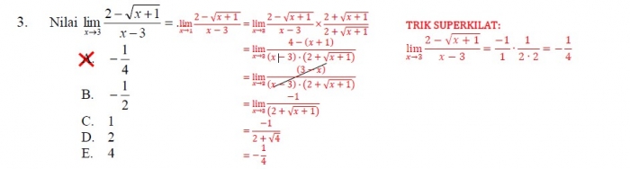
Limit x a.
Contoh soal limit fungsi akar. Contoh soal 8. Soal dan pembahasan limit fungsi aljabar dan trigonometri berikut ini adalah contoh soal dan pembahasan mengenai limit fungsi aljabar dan trigonometri. Pembahasan limit bentuk.
Saya juga berencana untuk membuat artikel tersendiri yang berkaitan dengan limit tak hingga fungsi trigonometri karena soal bentuk ini keluar pada sbmptn 2017 matematika ipa. And have 48 komentar. Namun dipertemuan sebelumnya kami telah membahas mengenai contoh soal fungsimari kita pelajari dengan seksama penjelasan lengkapnya berikut ini.
Contoh soal 7. Bentuk ini juga memerlukan rumus. Coba lihat salah satu contoh yang saya buat pada artikel penyelesaian limit fungsi trigonometri contoh soal nomor 4 bagian a.
Limit selisih akar dengan a c sehingga hasilnya 12 contoh soal limit fungsi matematika written by unknown published at 108 pm categorized as matematika. Perhatikan proses pengerjaan di bawah. Buat sobat hitung jangan lupa ikhtiar doa dan restu orang tua biar sukses ujian nasionalnya.
Tentukan nilai limit berikut. Sekian kumpulan soal limit fungsi trigonometri disertai dengan pembahasannya. Contoh soal limit materi makalah pembahasan kali ini mengenai contoh soal limit beserta pengertian sifat sifat limit teorima limi dan contoh soalnya.
Kami yakin soal limit sudah hampir bisa dipastikan akan muncul dalam soal ujian nasional 2014. Teknik yang digunakan untuk mendapatkan nilai limit pada soal adalah mengalikan dengan akar sekawannya. Rumus limit matematika fungsi tak hingga contoh soal by rama ardiyanto posted on june 18 2019 rumuscoid setelah sebelumnya kita membahas tentang rumus persamaan nilai mutlak kali ini kita akan membahas materi tentang rumus limit matematika kita akan jabarkan secara detail dan lengkap dari pengertian limit teorema limit rumus beserta.
Limit matematika tak terasa ujian nasional kurang dari sebulan lagi. Contoh soal 12 limit fungs trigonometri. Dengan metoda memfaktorkan.
Soal soalnya dikumpulkan penulis dari berbagai sumber. 1 tentukan hasil dari. Beberapa artikel yang berkaitan dengan limit.
Limit Fungsi Aljabar Materi Rumus Metode Contoh Soal
Contoh Soal Limit Akar Contoh Soal Dan Contoh Pidato Lengkap
Limit Dengan Pemfaktoran Dan Perkalian Sekawan
Limit Fungsi Aljabar Nol Per Nol
Belajar Limit Fungsi Aljabar Ikbalmatematika23
Contoh Soal Limit Akar Ilmu Pengetahuan Populer 1
Cara Mudah Mengerjakan Soal Limit Fungsi Aljabar Bentuk Tak
Soal Limit Bentuk Akar Dari Agmalyada Istana Matematika
Contoh Soal Matematika Limit Ida Blog
Belajar Limit Fungsi Aljabar Ikbalmatematika23
Contoh Soal Limit Fungsi Aljabar Bentuk Akar Materisekolah
Limit Fungsi Aljabar Nol Per Nol
Soal Dan Pembahasan Limit Tak Hingga Bentuk Akar 1 3
Contoh Soal Limit Kumpulan Soal Pelajaran 3
Limit Fungsi Aljabar Definisi Sifat Metode
Belajar Limit Fungsi Aljabar Ikbalmatematika23
Soal Limit Aljabar Pecahan Bentuk Akar Kelas X
Satu Contoh Soal Tentang Perkalian Sekawan Limit Beserta
Contoh Soal Limit Fungsi Aljabar Bentuk Akar Contoh Soal
Limit Dengan Pemfaktoran Dan Perkalian Sekawan
Soal Limit Bentuk Akar Dari Agmalyada Istana Matematika
Kumpulan Soal Limit Fungsi Trigonometri
Belajar Limit Fungsi Aljabar Ikbalmatematika23
Cara Cepat Limit Akar Bank Soal Matematika Sma No 3
Rumus Limit Matematika Fungsi Tak Hingga Contoh Soal
Limit Fungsi Aljabar Matematika Kelas 11 Quipper Blog
Contoh Soal Limit Akar Contoh Soal Dan Contoh Pidato Lengkap
Limit Fungsi Aljabar Materi Rumus Metode Contoh Soal
Soal Limit Fungsi Aljabar Pecahan Bentuk Akar Kelas X
Materi Limit Fungsi Aljabar Rumushitung Com
Limit Dengan Pemfaktoran Dan Perkalian Sekawan
Belajar Limit Fungsi Aljabar Ikbalmatematika23
Tips Mengerjakan Soal Limit Fungsi Aljabar Bentuk Tak Tentu
Contoh Soal Limit Akar Contoh Soal Dan Contoh Pidato Lengkap
Rumus Limit Matematika Fungsi Tak Hingga Contoh Soal
Kumpulan Soal Matematika Limit Akar Sekawan Gupak Com
Limit Fungsi Aljabar Matematika Kelas 11 Quipper Blog
Soal Limit Aljabar Yang Diselesaikan Dengan Perkalian Sekawan
5 Contoh Soal Limit Tak Hingga Dengan Penyelesaiannya
Contoh Rpp Limit Fungsi Aljabar
Media Pembelajaran Berbasis Ict Media Pembelajaran Berbasis
Limit Fungsi Pengertian Rumus Dan Contoh Soalnya Lengkap
Rumus Cepat Mengerjakan Limit Tak Hingga
Tutorial Cara Cepat Menghitung Limit Bentuk Akar Matematika Sma
Trik Menyelesaikan Limit Tak Hingga Akar Pangkat 3 M4th Lab
Bank Soal Dan Pembahasan Matematika Dasar Limit Fungsi
Cara Menyelesaikan Soal Limit Fungsi Aljabar Lengkap Dengan
Soal Dan Pembahasan Limit Fungsi Aljabar Dan Trigonometri 1
Bank Soal Dan Pembahasan Matematika Dasar Limit Tak Hingga
Belajar Matematika Limit Tak Hingga Akar Pangkat Tiga
Rumus Limit Matematika Fungsi Tak Hingga Contoh Soal
Limit Fungsi Aljabar Materi Rumus Metode Contoh Soal
Limit Fungsi Aljabar Nol Per Nol
Contoh Soal Limit Beserta Jawabanya Brainly Co Id
Soal Dan Pembahasan Limit Fungsi Aljabar Dan Trigonometri 1
Tips Mengerjakan Soal Limit Fungsi Aljabar Bentuk Tak Tentu
Contoh Soal Limit Akar Ilmu Pengetahuan Populer 1
Cara Cepat Limit Akar Rangkap Diatas Dan Bawah
Kumpulan Soal Limit Fungsi Trigonometri
Bank Soal Dan Pembahasan Matematika Dasar Limit Fungsi
Cara Cepat Dan Manual Limit Tak Hingga Bentuk Akar Pangkat Tiga
Limit Aljabar Bentuk Tak Tentu Akar Pangkat Tiga
Soal Dan Pembahasan Limit Fungsi Aljabar Dan Trigonometri
Limit Fungsi Aljabar Definisi Sifat Metode
Rumus Turunan Diferensial Matematika
Pelajaran Soal Rumus Limit Mengalikan Sekawan Wardaya
Rumus The King Limit Fungsi Aljabar Part 1 Belajar
Limit Fungsi Aljabar Trigonometri Pengertian Rumus
Limit Fungsi Trigonometri Matematika Peminatan Kelas Xii
Belajar Limit Fungsi Aljabar Ikbalmatematika23
Tips Mengerjakan Soal Limit Fungsi Aljabar Bentuk Tak Tentu
Contoh Soal Limit Akar Ilmu Pengetahuan Populer 1
Contoh Soal Limit Fungsi Pemfaktoran Archives Dosen Mipa
Limit Fungsi Aljabar Matematika Kelas 11 Quipper Blog
Kumpulan Soal Limit Fungsi Trigonometri
Soal Limit Aljabar Pecahan Bentuk Akar Kelas X
Limit Fungsi Aljabar Pengertian Materi Metode Rumus Dan
Limit Dengan Pemfaktoran Dan Perkalian Sekawan
Cara Cepat Limit Tak Hingga Bentuk Akar Di Kanan
Belajar Matematika Materi Limit
Cara Merasionalkan Penyebut Bentuk Akar Pangkat Tiga
Rumus Cepat Dalam Mengerjakan Limit Tak Hingga
Soal Dan Pembahasan Limit Fungsi Aljabar Dan Trigonometri 1
Rumus The King Limit Fungsi Aljabar Part 1 Belajar
Mtk Wajib Limit Pptx Menentukan Limit Fungsi Aljabar 1
Contoh Soal Dan Pembahasan Limit Fungsi Aljabar Matematika
Kumpulan Soal Matematika Limit Akar Sekawan Gupak Com
Limit Fungsi Aljabar Definisi Sifat Metode
Contoh Soal Limit Akar Ilmu Pengetahuan Populer 1
Berikan 5 Contoh Soal Tentang Merasionalkan Penyebut Akar
Contoh Soal Limit Fungsi Pemfaktoran Akar Archives Dosen Mipa
Rumus Cepat Dalam Mengerjakan Limit Tak Hingga




